ANÁLISIS DE SUPERVIVENCIA
Diana Armesto.
Fundación Burgos por la Investigación de la Salud.
Unidad de Investigación. Complejo Asistencial Universitario de Burgos.
Burgos. España
Rev Electron Biomed / Electron J Biomed 2011;2: 53-58.
Comentario del revisor Prof. José Luis Hernéndez Cáceres. Center for Cybernetics Applications to Medicine (CECAM). Havana, Cuba.
Comentario del revisor Prof. Jose María Eirós Bouza, PhD. Departamento de Microbiología. Facultad de Medicina. Universidad de Valladolid. Valladolid. España.
RESUMEN:
En campos como la medicina, biología y epidemiología se tiene como objetivo principal de estudio determinar qué factores influyen, en función del tiempo, en la ocurrencia de un determinado suceso.
En las últimas décadas se han desarrollado nuevos métodos estadísticos que permiten profundizar en el estudio de la supervivencia, comparar sus curvas y estudiar los factores pronóstico. Entre estos métodos destacamos Kaplan-Meier, test de Log-Rank y regresión de Cox los cuales serán objeto de estudio en este artículo.
PALABRAS CLAVE: Análisis supervivencia. Kaplan-Meier, test de Log-Rank. Regresión de Cox.
SUMMARY: SURVIVAL ANALYSIS
In fields such as medicine, biology and epidemiology a major goal is to determine the influence of factors in the occurrence of an event, as a function of time.
In the last decades new methods allowed us to deepen the study of survival, the comparison of curves and study the influence of multiple factors. As object of study in this article, we emphasize Kaplan-Meier, log-rank test and Cox regression.
KEYWORDS: Survival analysis. Kaplan-Meier. Log-Rank test. Cox regression.
INTRODUCCIÓN
El objetivo del análisis de supervivencia es el análisis y la predicción de tiempos de duración de una determinada situación, que termina con la ocurrencia de un evento. Para ello, se estudia el tiempo que transcurre entre un momento inicial (diagnóstico de un cáncer, operación quirúrgica…) y la ocurrencia de un evento (muerte, recidiva…).
En los estudios clínicos generalmente existe ausencia de información (datos censurados), debido a diferentes causas1:
- Se desconoce el momento inicial del tiempo de supervivencia (comienzo de la enfermedad,…).
- Se desconoce el momento final del tiempo de supervivencia (el paciente sigue vivo al finalizar el estudio).
- Existe abandono del paciente en el estudio.
- El paciente muere por causa ajena del objeto de estudio
Otro factor a tener en cuenta en este tipo de estudios es la variación del tiempo de seguimiento de los sujetos debida a sus diferentes tiempos de incorporación al estudio. Por ello, no se suelen utilizar técnicas habituales como Anova de un factor2 y se requieren de técnicas especiales para poder analizar este tipo de datos que permitan aprovechar la información contenida en las pérdidas. Estas técnicas se conocen como análisis de supervivencia.
ANÁLISIS UNIVARIANTE: MÉTODO DE KAPLAN-MEIER
Dentro de los análisis de supervivencia univariantes, el más destacado es el método de Kaplan-Meier en el cual se utilizan todas las observaciones3. Este método nos permite evaluar, de modo individual, los posibles factores pronóstico, calcular la supervivencia cada vez que un sujeto presenta el evento y, al igual que otros métodos univariantes, nos permite comparar dos o más curvas de supervivencia a lo largo del tiempo.
Para ello, nos aporta:
- Curva de supervivencia.
- Media y mediana del tiempo de supervivencia.
- Tabla de supervivencia.
- Diferentes test para comparar las curvas de supervivencia.
Figura 1. Curva de Supervivencia por Kaplan-Meier

Las curvas de supervivencia de Kaplan-Meier son curvas escalonadas. Los escalones se forman a medida que transcurre el tiempo, de modo que cada vez que ocurre el evento de estudio se genera un escalón hacia abajo, lo cual conlleva una reducción de la supervivencia acumulada hasta ese instante. Se asume que los datos censurados se comportarán del mismo modo que los que han sido seguidos hasta el final y, aunque en la gráfica estos datos no disminuyan la supervivencia acumulada, provocan un mayor tamaño en el próximo escalón.
El método de Kaplan-Meier también nos aporta los valores de la media y mediana (incluso los cuartíles, si se desea) del tiempo de supervivencia, pero hay que tener en cuenta que en este tipo de estudios la media puede verse afectada por los datos censurados1, por tanto, el valor de la mediana nos aportará mayor información al estudio.
Además, este método nos permite estudiar la probabilidad acumulada de supervivencia en un determinado instante junto con el número de eventos ocurridos hasta el momento, tal y como se muestra en la tabla 1.
Cuando, además, se desean comparar dos o más curvas de supervivencia, existen diferentes test no paramétricos. El más empleado en estudios clínicos es el test de Log-Rank que tiene en cuenta todo el período de observación del estudio4 .
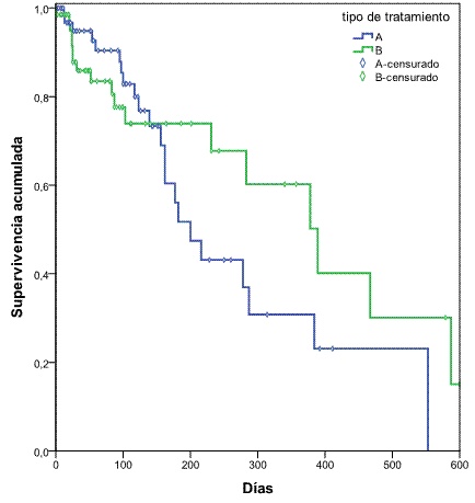
Figura 2. Comparación de dos tratamientos (datos ficticios)

En la figura 2, el test de Log-Rank tiene un p-valor=0.01, luego la tasa de supervivencia es estadísticamente mayor en el tratamiento B que en el A.
Sin embargo, no siempre es adecuado el uso del test de Log-Rank en la comparación de curvas de supervivencia debido a que puede perder eficacia cuando las curvas se cruzan5 (figura 3) en este caso algunos autores aconsejan realizar el test de Log-Rank dividiendo el conjunto de datos en dos partes diferenciadas por el punto de cruce3 (figura 4), mientras que otros autores establecen criterios de elección de otros test como son el test de Breslow o de Tarone-Ware6.
Figura 3. Comparación de dos tratamientos (datos ficticios)

Test de Breslow: p-valor=0.548, luego los tratamientos no presentan diferencias a lo largo del tiempo del estudio.
Test de Log-Rank: p-valor=0.403 luego si comparamos las curvas a lo largo de todo el tiempo de estudio no hay diferencias entre los tratamientos.
Veamos que ocurre si dividimos la gráfica por el punto de cruce y comparamos los tratamientos en las gráficas resultantes.
Figuras 4 y 5. Gráficas de supervivencia resultantes del corte de cruce de la figura 3.

Test Log- Rank:
- Figura 4: p-valor=0.356, luego no existen diferencias entre los tratamientos A y B desde el inicio hasta los primeros 150 días.
- Figura 5: p-valor=0.033, luego el tratamiento B tiene mayor supervivencia que el tratamiento A, a partir de los 150 días.
Luego el tratamiento B tiene una mayor supervivencia, a largo plazo, frente al tratamiento A.
ANÁLISIS MULTIVARIADO: REGRESIÓN DE COX
En los estudios clínicos de supervivencia una vez se hayan estudiado los factores pronóstico de modo individual, se han de estudiar éstos en su conjunto7 (para poder evaluar las posibles iteraciones y variables de confusión) mediante análisis multivariado.
La regresión de Cox es un análisis de supervivencia multivariado la cual se basa en el supuesto de riesgos proporcionales, es decir, se presupone que los riesgos de los factores son proporcionales a lo largo del tiempo. Hay diferentes métodos de verificación de este supuesto, algunos autores se basan en observar las curvas de supervivencia dadas por Kaplan-Meier y ver si éstas son paralelas4, mientras que otros autores lo verifican mediante el uso de diferentes residuos (residuos de martingala, residuos de Schoenfeld)8.
La regresión de Cox se basa en obtener una función lineal de los posibles factores independientes que permita estimar, en función del tiempo, la probabilidad de que ocurra el evento de estudio. Para ello, nos aporta la razón de riesgo (probabilidad condicional de presentar el evento en el siguiente instante de tiempo, sin que éste se haya presentado antes del inicio de dicho instante).
Existen tres maneras de desarrollar un modelo de Cox1:
- Backward (hacia atrás), ésta tal vez sea la más recomendada y se aplica introduciendo todas las variables del estudio y se van quitando del modelo de una en una hasta dar el modelo final con todas las variables que intervienen en él.
- Forward (hacia delante), se aplica introduciendo cada vez una variable en el modelo hasta conseguir el modelo final (no se recomienda este modelo pues aparecen todas las variables tanto si son significativas como si no).
- Stepwise (paso a paso), es una modificación del anterior de modo que cada vez que se añade una variable se verifica si alguna de las variables introducidas es no significativa y si esto es así dicha variable se elimina del modelo (con ello se consigue un modelo final en el que intervienen únicamente las variables significativas).
A la hora de realizar una regresión de Cox tenemos que tener en cuenta las posibles interacciones de las variables, es decir, puede que el efecto de una variable A dependa del efecto de una variable B, luego a la hora de realizar una regresión de Cox se ha de estudiar el efecto de las interacciones2 sobre nuestro modelo final y, en caso, que éstas sean significativas frente al modelo sin las interacciones hay que elegir como modelo final el que las contiene.
El resultado de la tabla 2 muestra un ejemplo ficticio de pacientes con cáncer de mama en el que se evalúan los factores: edad y metástasis.
El factor metástasis tiene un p-valor=0.047 menor que alpha=0.05 luego tendríamos que la metástasis es un factor pronóstico del cáncer de mama; la regresión de Cox también nos aporta la razón de riesgo (Exp(B)) que tiene por valor 2.656, lo cual indica que aquellos pacientes con metástasis tienen un riesgo 2.665 veces mayor de mortalidad que los pacientes sin metástasis.
Sin embargo, para el factor edad se tiene un p-valor=0.35 mayor que alpha=0.05 luego se tendría que la edad no influye en la mortalidad.
A la hora de estudiar la interacción entre las variables se obtiene la siguiente tabla:
Luego, como puede observarse en la tabla 3, sí existe efecto de interacciones. Por tanto, nuestro modelo final es el modelo de la tabla 2.
CONCLUSIÓN
El análisis de supervivencia es de gran importancia en biomedicina debido a que se muestra como una herramienta de ayuda diagnóstica al permitir predecir en que instante pueden ocurrir determinados sucesos y que factores influyen en ello.
REFERENCIAS
CORRESPONDENCIA:
Dª Diana Armesto Formoso
Fundación "Burgos por la I nvestigación de la Salud"
Unidad de Investigación.
Complejo Asistencial Universitario de Burgos
Avda. del Cid 96.
09005 Burgos.
España
Email: diana @ hgy.es
Comentario del revisor Prof. José Luis Hernéndez Cáceres. Center for Cybernetics Applications to Medicine (CECAM). Havana, Cuba.
En este artículo se pone de manifiesto de esta manera que las tecnicas de analisis de supervivencia contienen excelentes herramientas para el estudio de diferentes tipos de
datos. Frecuentemente los investigadores ignoran la potencialidad de estas para diferentes investigaciones de corte biomedico.
Comentario del revisor Prof. Jose María Eirós Bouza, PhD. Departamento de Microbiología. Facultad de Medicina. Universidad de Valladolid. Valladolid. España.
La contribución de Armesto describe con lucidez las características y las
aplicaciones de la regresión de Cox. Su aportación resulta de utilidad en un
triple sentido. De una parte es un recordatorio breve de lo que representa el
análisis de series mediante este método. En segundo lugar ilustra sus
estrategias considerando su potencial aplicación. Y en últimas instancia
representa una llamda activa a los "no metodólogos" para despestar la necesidad
de formación continuada en este ámbito, que no nos debe resultar ajena.
Recibido, 26 de abril de 2011. Recibido revisado 2 de agosto de 2011
Publicado, 30 de agosto de 2011